SCGeoscience's profile picture. Southern Cross  GeoScience specialises in multidisciplinary research that broadens our understanding of ancient and contemporary  geo-environmental systems.

Southern Cross GeoScience

@SCGeoscience

Southern Cross GeoScience specialises in multidisciplinary research that broadens our understanding of ancient and contemporary geo-environmental systems.

Southern Cross GeoScience 已轉發

Are trees a climate catch 22? Leaves remove CO2 from the atmosphere, but their stems emit the potent greenhouse gas methane...unless bacteria consume it first go.nature.com/2P7xGiU @Luke_Jeffrey


Southern Cross GeoScience 已轉發

In a world-first, published in @NatureComms, #SouthernCrossUniversity researchers reveal the unique, methane-eating microbial communities living in the bark of a common Australian tree species, the paperbark. Read more➡️ bit.ly/3mLt9PB @Luke_Jeffrey


Southern Cross GeoScience 已轉發

'We found methane-eating bacteria living in a common Australian tree. It could be a game changer for curbing greenhouse gases.' 👇 🌳theconversation.com/we-found-metha… Read a related paper by @Luke_Jeffrey, @Dr_Damo77, et al. 👇 📖nph.onlinelibrary.wiley.com/doi/10.1111/np…

NewPhyt's tweet image. 'We found methane-eating bacteria living in a common Australian tree. It could be a game changer for curbing greenhouse gases.' 👇

🌳theconversation.com/we-found-metha…

Read a related paper by @Luke_Jeffrey, @Dr_Damo77, et al. 👇

📖nph.onlinelibrary.wiley.com/doi/10.1111/np…

Southern Cross GeoScience 已轉發

@Luke_Jeffrey does some #scicomm on his new tree-mediated methane #treethane paper in @ConversationEDU tinyurl.com/zrmwyt6w . Significant methane oxidation within the bark of trees! Paper #openaccess in @NatureComms nature.com/articles/s4146…


Southern Cross GeoScience 已轉發

Bark-dwelling methanotrophic bacteria decrease methane emissions from trees nature.com/articles/s4146…


Southern Cross GeoScience 已轉發

Our paper "Alkalinity Production Coupled to Pyrite Formation Represents an Unaccounted Blue Carbon Sink" is now published in GBC. dx.doi.org/10.1029/2020GB…

GReithmaier's tweet image. Our paper "Alkalinity Production Coupled to Pyrite Formation Represents an Unaccounted Blue Carbon Sink" is now published in GBC. dx.doi.org/10.1029/2020GB…
GReithmaier's tweet image. Our paper "Alkalinity Production Coupled to Pyrite Formation Represents an Unaccounted Blue Carbon Sink" is now published in GBC. dx.doi.org/10.1029/2020GB…
GReithmaier's tweet image. Our paper "Alkalinity Production Coupled to Pyrite Formation Represents an Unaccounted Blue Carbon Sink" is now published in GBC. dx.doi.org/10.1029/2020GB…

Southern Cross GeoScience 已轉發

A #SciComm piece I wrote for @ConversationEDU about the significance of the global #Treethane research frontiers and our new @NatureComms publication revealing that microbes living in tree bark consume #Methane theconversation.com/we-found-metha…


Southern Cross GeoScience 已轉發

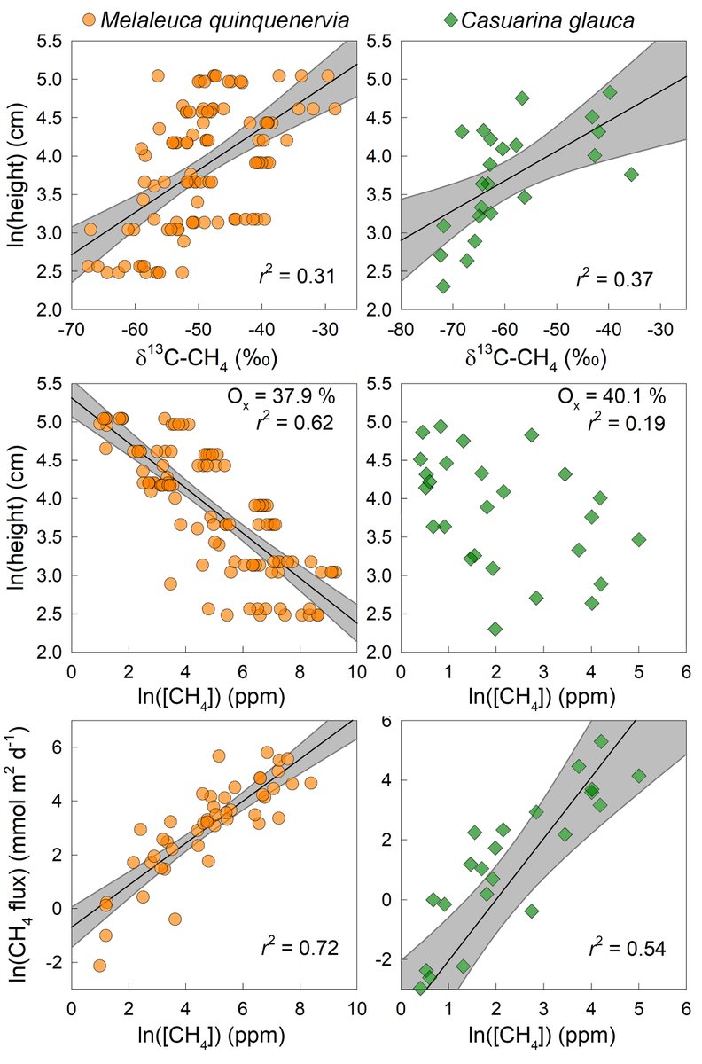
1/6) Pls check out our newly accepted @NewPhyt paper revealing #Isotopic evidence for axial tree stem #Methane #Oxidation within subtropical lowland forests 🌱> tinyurl.com/57k3zaa9

Luke_Jeffrey's tweet image. 1/6) Pls check out our newly accepted @NewPhyt paper revealing #Isotopic evidence for axial tree stem #Methane #Oxidation within subtropical lowland forests 🌱> tinyurl.com/57k3zaa9
Luke_Jeffrey's tweet image. 1/6) Pls check out our newly accepted @NewPhyt paper revealing #Isotopic evidence for axial tree stem #Methane #Oxidation within subtropical lowland forests 🌱> tinyurl.com/57k3zaa9
Luke_Jeffrey's tweet image. 1/6) Pls check out our newly accepted @NewPhyt paper revealing #Isotopic evidence for axial tree stem #Methane #Oxidation within subtropical lowland forests 🌱> tinyurl.com/57k3zaa9

Southern Cross GeoScience 已轉發

Submitted my Ph. D. thesis. A big thanks goes to everyone who supported me during the last three years. Now I am looking for postdocs in Europe.

GReithmaier's tweet image. Submitted my Ph. D. thesis. A big thanks goes to everyone who supported me during the last three years. Now I am looking for postdocs in Europe.

Southern Cross GeoScience 已轉發

Happy International Women and Girls in Science Day💕👩‍🔬👩🏻‍🎓@SCUonline @SCGeoscience #WomenScienceDay #WomenInScience

nkarimia's tweet image. Happy International Women and Girls in Science Day💕👩‍🔬👩🏻‍🎓@SCUonline @SCGeoscience #WomenScienceDay #WomenInScience

Southern Cross GeoScience 已轉發

Fantastic #PhD opportunity 👇 ✅A frontier project investigating forest #Methane fluxes🌴🌳 ✅Funded 3-year #PhD scholarship💲 ✅World-class @SCGeoscience labs +equipment👩‍🔬👨‍🔬 ✅Beautiful @SCUonline subtropical Australian location ✅ Please RT or tag any whom may be interested 🙏

此推文已無法使用。

Southern Cross GeoScience 已轉發

Check out @GReithmaier's new #PhD chapter on subtropical urban #Estuarine #Biogeochemical dynamics driven by rainfall. Love the new duel 32-syringe autosampler methods capturing 2-week #Timeseries @ 1.5hr resolution #Alkalinty #DOC #Nutrient fluxes👏🙌

Check out our new publication “Rainfall drives rapid shifts in carbon and nutrient source-sink dynamics of an urbanised, mangrove-fringed estuary”. @Dr_Damo77 @Barefoot_Lab @Drexl_Michael #Mangrove #biogeochemistry #estuary #bluecarbon Available at: sciencedirect.com/science/articl…

GReithmaier's tweet image. Check out our new publication “Rainfall drives rapid shifts in carbon and nutrient source-sink dynamics of an urbanised, mangrove-fringed estuary”. 
@Dr_Damo77  @Barefoot_Lab @Drexl_Michael 
#Mangrove #biogeochemistry #estuary #bluecarbon Available at: sciencedirect.com/science/articl…
GReithmaier's tweet image. Check out our new publication “Rainfall drives rapid shifts in carbon and nutrient source-sink dynamics of an urbanised, mangrove-fringed estuary”. 
@Dr_Damo77  @Barefoot_Lab @Drexl_Michael 
#Mangrove #biogeochemistry #estuary #bluecarbon Available at: sciencedirect.com/science/articl…
GReithmaier's tweet image. Check out our new publication “Rainfall drives rapid shifts in carbon and nutrient source-sink dynamics of an urbanised, mangrove-fringed estuary”. 
@Dr_Damo77  @Barefoot_Lab @Drexl_Michael 
#Mangrove #biogeochemistry #estuary #bluecarbon Available at: sciencedirect.com/science/articl…


Southern Cross GeoScience 已轉發

Check out our new publication “Rainfall drives rapid shifts in carbon and nutrient source-sink dynamics of an urbanised, mangrove-fringed estuary”. @Dr_Damo77 @Barefoot_Lab @Drexl_Michael #Mangrove #biogeochemistry #estuary #bluecarbon Available at: sciencedirect.com/science/articl…

GReithmaier's tweet image. Check out our new publication “Rainfall drives rapid shifts in carbon and nutrient source-sink dynamics of an urbanised, mangrove-fringed estuary”. 
@Dr_Damo77  @Barefoot_Lab @Drexl_Michael 
#Mangrove #biogeochemistry #estuary #bluecarbon Available at: sciencedirect.com/science/articl…
GReithmaier's tweet image. Check out our new publication “Rainfall drives rapid shifts in carbon and nutrient source-sink dynamics of an urbanised, mangrove-fringed estuary”. 
@Dr_Damo77  @Barefoot_Lab @Drexl_Michael 
#Mangrove #biogeochemistry #estuary #bluecarbon Available at: sciencedirect.com/science/articl…
GReithmaier's tweet image. Check out our new publication “Rainfall drives rapid shifts in carbon and nutrient source-sink dynamics of an urbanised, mangrove-fringed estuary”. 
@Dr_Damo77  @Barefoot_Lab @Drexl_Michael 
#Mangrove #biogeochemistry #estuary #bluecarbon Available at: sciencedirect.com/science/articl…

Southern Cross GeoScience 已轉發

Happy to share our new paper on antimony interactions with manganese oxides by @nkarimia @ScottJoh_dirtDr and myself in the Journal of Hazardous Materials (doi.org/10.1016/j.jhaz…). Thanks to @arc_gov_au & @GeoloJess_ + Peter Kappen at @ausynchrotron. @SCUonline @SCGeoscience

BurtonEd's tweet image. Happy to share our new paper on antimony interactions with manganese oxides by @nkarimia @ScottJoh_dirtDr and myself in the Journal of Hazardous Materials (doi.org/10.1016/j.jhaz…). Thanks to @arc_gov_au & @GeoloJess_ + Peter Kappen at @ausynchrotron. @SCUonline @SCGeoscience

Southern Cross GeoScience 已轉發

Our new paper shows that agricultural drainage has increased REE leaching from acid sulfate soils under farmlands in Finland, leading to REE enrichment in estuarine sediments mainly via sorption to clay minerals (borenv.net/BER/archive/pd…). @SCUonline @SCGeoscience @ResearchSCU

BurtonEd's tweet image. Our new paper shows that agricultural drainage has increased REE leaching from acid sulfate soils under farmlands in Finland, leading to REE enrichment in estuarine sediments mainly via sorption to clay minerals (borenv.net/BER/archive/pd…). @SCUonline @SCGeoscience @ResearchSCU

Southern Cross GeoScience 已轉發

How will climate change impact arsenic & antimony mobility in rivers? Our new paper from @ScottJoh_dirtDr @nkarimia and myself in Water Resources Research provides new clues (check it out at dx.doi.org/10.1029/2020WR…). @SCUonline @ResearchSCU @SCGeoscience #mining #geochemistry

BurtonEd's tweet image. How will climate change impact arsenic & antimony mobility in rivers? Our new paper from @ScottJoh_dirtDr @nkarimia and myself in Water Resources Research provides new clues (check it out at dx.doi.org/10.1029/2020WR…). @SCUonline @ResearchSCU @SCGeoscience #mining #geochemistry

Southern Cross GeoScience 已轉發

Great to see this final paper of twitterless James Sippo's PhD out in @EGU_BioGeo. Combining dendochronology and sediment geochemistry to unravel impacts of mangrove dieback on iron. Great collaboration with @ANSTO research funded by @arc_gov_au

Dr_Damo77's tweet image. Great to see this final paper of twitterless James Sippo's PhD out in @EGU_BioGeo. Combining dendochronology and sediment geochemistry to unravel impacts of mangrove dieback on iron. Great collaboration with @ANSTO research funded by @arc_gov_au
Dr_Damo77's tweet image. Great to see this final paper of twitterless James Sippo's PhD out in @EGU_BioGeo. Combining dendochronology and sediment geochemistry to unravel impacts of mangrove dieback on iron. Great collaboration with @ANSTO research funded by @arc_gov_au
Dr_Damo77's tweet image. Great to see this final paper of twitterless James Sippo's PhD out in @EGU_BioGeo. Combining dendochronology and sediment geochemistry to unravel impacts of mangrove dieback on iron. Great collaboration with @ANSTO research funded by @arc_gov_au

Southern Cross GeoScience 已轉發

The new #MakingADifference features the story of a research team from @SCGeoscience who were first on the scene in 2016 to investigate the unprecedented dieback of mangrove forests in northern Australia’s Gulf of Carpentaria. @Luke_Jeffrey @Dr_Damo77 ow.ly/5uj950BagPU

arc_gov_au's tweet image. The new #MakingADifference features the story of a research team from @SCGeoscience who were first on the scene in 2016 to investigate the unprecedented dieback of mangrove forests in northern Australia’s Gulf of Carpentaria. @Luke_Jeffrey @Dr_Damo77 ow.ly/5uj950BagPU

United States 趨勢

Loading...

Something went wrong.


Something went wrong.