astro__will's profile picture. Found X-rays from Uranus; ERF at UCL; Coordinate multi-award-winning @Orbyts1 scientist-school partnerships to support school science research+STEM inclusivity.

Dr William Dunn

@astro__will

Found X-rays from Uranus; ERF at UCL; Coordinate multi-award-winning @Orbyts1 scientist-school partnerships to support school science research+STEM inclusivity.

Pinned

Our Orbyts team worked super hard in our free time to write our first Impact report based on the last 6 years of programme evaluation, so we're mega excited to share it with you: orbyts.org/impact

orbyts.org

Our Impact | Orbyts

Our Impact | Orbyts

We're delighted to present Orbyts' first Impact Report! Over the past six years we have seen Orbyts' transformational impact on young people, researchers and teachers alike and we’re excited to share that with you. Find the 2017-2023 Orbyts Impact Report: orbyts.org/impact

Orbyts1's tweet image. We're delighted to present Orbyts' first Impact Report! Over the past six years we have seen Orbyts' transformational impact on young people, researchers and teachers alike and we’re excited to share that with you.
Find the 2017-2023 Orbyts Impact Report: orbyts.org/impact


Trying the switch to Blue Sky as AstroWillDunn


Great to see this work led by CPS alumus Dr Jamie Jasinski @spaceJamieJ @NASAJPL, including CPS co-authors Dr Will Dunn @astro__will and Prof Nick Achilleos and CPS alumni Dr @Tom_Nordheim @NASAJPL and Dr Leonardo Regoli @JohnsHopkins APL 👇nature.com/articles/s4155… 🌞 🧲 🪐🤩



Dr William Dunn reposted

Great to see this work led by CPS alumus Dr Jamie Jasinski @spaceJamieJ @NASAJPL, including CPS co-authors Dr Will Dunn @astro__will and Prof Nick Achilleos and CPS alumni Dr @Tom_Nordheim @NASAJPL and Dr Leonardo Regoli @JohnsHopkins APL 👇nature.com/articles/s4155… 🌞 🧲 🪐🤩

Mysteries about Uranus that have baffled scientists for decades may have been the result of unusually powerful solar winds that happened to occur as a spacecraft visited the planet, finds a new study involving Dr @astro__will @uclmaps with @NASAJPL ucl.ac.uk/news/2024/nov/…

uclnews's tweet image. Mysteries about Uranus that have baffled scientists for decades may have been the result of unusually powerful solar winds that happened to occur as a spacecraft visited the planet, finds a new study involving Dr @astro__will @uclmaps with @NASAJPL ucl.ac.uk/news/2024/nov/…


Dr William Dunn reposted

Could the moons of Uranus be home to life? A new study says maybe. bbc.co.uk/news/articles/…


Dr William Dunn reposted

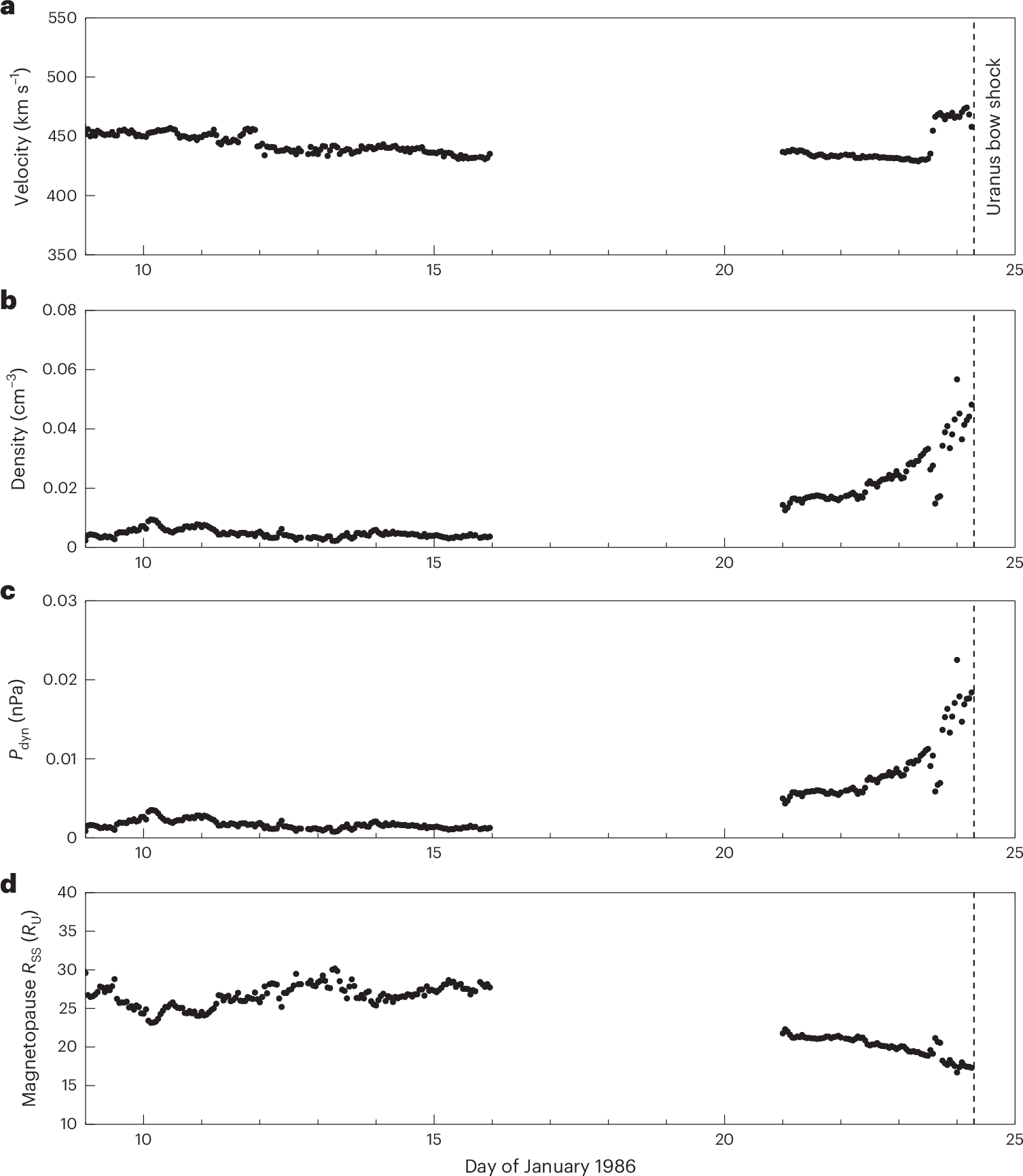
A reanalysis of the 1986 Voyager 2 flyby of Uranus shows that it occurred during an extreme compression of the planet’s magnetosphere by the solar wind. This would have had significant effects on the measurements made during the flyby. @spaceJamieJ et al.: nature.com/articles/s4155…

NatureAstronomy's tweet image. A reanalysis of the 1986 Voyager 2 flyby of Uranus shows that it occurred during an extreme compression of the planet’s magnetosphere by the solar wind. This would have had significant effects on the measurements made during the flyby. @spaceJamieJ et al.: nature.com/articles/s4155…

Dr William Dunn reposted

When I flew by Uranus in 1986, my readings of its magnetosphere confounded scientists – but new analysis shows that it was all a cosmic coincidence and that, if I arrived just a few days earlier, I'd have observed a completely different environment: go.nasa.gov/3YIaLKD -V2

NASAVoyager's tweet image. When I flew by Uranus in 1986, my readings of its magnetosphere confounded scientists – but new analysis shows that it was all a cosmic coincidence and that, if I arrived just a few days earlier, I'd have observed a completely different environment: go.nasa.gov/3YIaLKD -V2

My excellent friend @spaceJamieJ discovered that lots of Uranus's mysterious behaviour that we've talked about for decades, based on Voyager 2s flyby, happened during really extreme solar wind conditions. It's out today here: nature.com/articles/s4155… . May be some news coverage.


Dr William Dunn reposted

A group of young astronomers from @Prendergast_PLS , guided by Fellow Amara Mighty, embarked on a journey to explore stellar nurseries and to understand how different galaxies fuel star formation! 🌌 Check out their conference video!: youtu.be/ogS6SbOO86M #OrbytsConference2024


Dr William Dunn reposted

Students from @StBernards_HS along with Fellow @ConnorJBallard from @MSSLSpaceLab have taken a significant step towards understanding the potential to identify life on Mars using microbialites from Lake Salda, Turkey🦠🔬Check it out! youtu.be/W2tLmVKlGck #OrbytsConference2024


Dr William Dunn reposted

Students from @BlenheimEpsom and Fellow @rjwarrilow from @MSSLSpaceLab embarked on a fascinating project to identify regions on Mars that may have once harboured habitable conditions! Interested? Check out their conference video here! youtu.be/xvLNFnSNBig #OrbytsConference2024


We have 6 amazing Orbyts space research projects ready for schools in the Warwick/Coventry area, and still a couple spaces. If you're a teacher and would like a scientist to support your students with doing some research, please get in touch. More info: orbyts.org/impact

orbyts.org

Our Impact | Orbyts

Our Impact | Orbyts


Dr William Dunn reposted

We’re kickstarting our 10th year of Orbyts with hubs in London, Newcastle, Leicester, Warwick, Edinburgh, and Kent! Hooray! 🎉 We’re looking forward to yet another year of amazing science!


Obviously v tough to take - I was really proud of our LEM white paper on solar system X-rays and the @LEMXray proposal felt phenomenally well put together by an amazing team. But @AXISprobe is a really exciting mission and I have fingers firmly crossed for them in the next phase.

NASA announced the results of Step 1 of the Astrophysics Probe competition. Unfortunately @LEMXray was not selected. We want to thank our amazing Team of 300+ scientists, engineers, and program managers, administrators, who dedicated 2 years to developing the LEM concept! (1/2)

LEMXray's tweet image. NASA announced the results of Step 1 of the Astrophysics Probe competition. Unfortunately @LEMXray was not selected. We want to thank our amazing Team of 300+ scientists, engineers, and program managers, administrators, who dedicated 2 years to developing the LEM concept!  (1/2)


Dr William Dunn reposted

NASA announced the results of Step 1 of the Astrophysics Probe competition. Unfortunately @LEMXray was not selected. We want to thank our amazing Team of 300+ scientists, engineers, and program managers, administrators, who dedicated 2 years to developing the LEM concept! (1/2)

LEMXray's tweet image. NASA announced the results of Step 1 of the Astrophysics Probe competition. Unfortunately @LEMXray was not selected. We want to thank our amazing Team of 300+ scientists, engineers, and program managers, administrators, who dedicated 2 years to developing the LEM concept!  (1/2)

Loading...

Something went wrong.


Something went wrong.