#multisensor wyniki wyszukiwania
The flexible structure under the compact appearance. Explore more about Dahua Technology's #MultiSensor IR Dome Network Camera in this video:
Have you ever heard or read about concepts like view-specific and view-shared features? In this short post I share some of the knowledge I have gained during my research on #multiview learning 😃 #multisensor #multimodal

With our new #visualization tool for #multiSensor data, we can easily evaluate our perception system. This facilitates root course analyses for errors in our #automatedDriving stack.”
Would you choose a 360° overview 🔄 or focus on the small details 🔍? Why not both? And all in one camera including AI-based auto-tracking: That's the new MOBOTIX MOVE Vandal Multisensor PTZ Combo. #PTZ #videosurveillance #multisensor #twoinone
Starting a new project #AI enabled #multisensor platform to monitor AKI patients -- funded by #NIH R01 @MayoClinicMI2 @MayoRadiologyAZ @ASU

Top 10 Cited Papers in #Agriculture in Last 2 Years No.3: Practical Applications of a #Multisensor UAV Platform Based on #Multispectral, Thermal and RGB High Resolution #Images in Precision #Viticulture by Alessandro Matese and Salvatore Filippo Di Gennaro mdpi.com/2077-0472/8/7/…

📣 📣 GREAT NEWS! The prototype #PhasmaFOOD #Multisensor #Food-Scanning Device is ready! The 1st phase of #validation & calibration activities will start soon! Stay tuned! bit.ly/2M2OEYc @EU_H2020 #H2020 #euresearch #FoodSafety #FoodQuality

Dahua Technology announces New #MultiSensor Cameras to fulfill flexibility and evolving customer change-requirements. #ISCWEST Discover more: bit.ly/2uEnr7F

Generated extra 11 131 surface water area time series for all known waterbodies in India ... crazy number of tiny reservoirs are still missing. In total 28 324 x 30 years A(t) are generated for now, almost daily data for recent years. #multisensor, #water, #EO. DM for details.
La herramienta #NodeRED es capaz de monitorear múltiples sensores de una forma muy sencilla. En este artículo nos muestran cómo podemos utilizar un #shield #multisensor con #Wemos #ESP8266 y visualizarlo en #NodeRED #Maker #IoT #DIY buff.ly/2NV1lct

A Nonlinear Double Model for Multisensor-Integrated Navigation Using the Federated EKF Algorithm for Small #UAVs @NPUintl mdpi.com/1424-8220/20/1… #multisensor

📝Call for papers for the special issue: " Algorithm Development in #EarthObservation Modeling Using #Multisensor Data" 👥Guest editors: Dr. Sanaz Vajedian, Dr. Rishabh Dutta, Dr. Indhu Varatharajan mdpi.com/journal/remote… ⏰Deadline: 15 November 2024

Exclusive footage captured at our headquarters! 😅 The #O3 eclipses #multisensor competitors in totality. It stands alone; It is the perfect example of the #InternetOfThings (IoT) in action. deltacontrols.com/products/o3/ #DeltaControls #RoomControl #SeymourConnect #ProvisoProvisioning…
We are here in Hungary with our #dairy #UseCase #MultiSensor Cow #Monitoring. After being administered, the sensors measure crucial parameters such as heat detection or #pH value. It helps farmers to monitor their animals‘ health on a daily basis in one #centralised app.



#Multisensor as key to #intelligent #IoT #systems? With #enocean easy! Learn more:https: //bit.ly/3EpBNvS

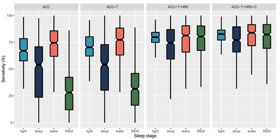
The Promise of Sleep: A #MultiSensor Approach for Accurate #Sleep Stage Detection Using the Oura Ring @altini_marco @VUamsterdam @ouraring 👉mdpi.com/1424-8220/21/1… #wearables #heartratevariability #MachineLearning #accelerometer #withOura

#RSHighlyCitedPaper Towards Global #Volcano Monitoring Using #Multisensor #Sentinel Missions and #ArtificialIntelligence: The MOUNTS Monitoring System By Sébastien Valade, Andreas Ley, et al. 👉mdpi.com/2072-4292/11/1… #remotesensing #ConvolutionalNeuralNetwork #CNN #Radar #InSAR

#Mapping Heterogeneous Buried #Archaeological Features Using #Multisensor Data from Unmanned Aerial Vehicles by Christopher Brooke and Ben Clutterbuck 👉mdpi.com/2072-4292/12/1… #remotesensing #UAV #randomforest #thermal #multispectral

🍇🍇 Time Series Analysis of #Multisensor Data for #Precision #Viticulture—Assessing Microscale Variations in Plant Development with Respect to #Irrigation and #Topography ✍️ Melanie Brandmeier et al. 🔗 brnw.ch/21wRHma

A new study published in Journal of Remote Sensingon, examines the impact of optical snow cover data on the accuracy of L-band InSAR-based snow water equivalent retrievals. #Snow water equivalent #Multisensor Details: spj.science.org/doi/10.34133/r…

🔥 Read our Highly Cited Paper 📚 #TeacherStudentModel Using Grounding DINO and #YouOnlyLookOnce for #MultiSensor-Based #ObjectDetection 🔗 mdpi.com/2076-3417/14/6… 👨🔬 Jinhwan Son and Heechul Jung 🏫 Kyungpook National University #deeplearning #computervision #autolabeling

Environmental monitors use UAV-mounted multispectral sensors to track Himalayan pine beetle outbreaks, enabling early containment efforts across 1,000 ha. #MultiSensor #PestControl
Portable multisensory barrels could deliver sound, scent, light, and texture experiences in a compact unit, enriching sensory play in confined station areas. #MultiSensor #Compact
Turin’s multi-sensor cubes integrate radar, optical, and infrared to characterize debris material properties, aiding fragmentation risk models. #MultiSensor #DebrisCharacterization
NewswireToday / BAE Systems and Hanwha Systems Sign MOU to Develop An Advanced Multi-sensor Satellite System #BAESystems_AI #Hanwhasystems #MultiSensor #SAR #ISR #RadioFrequency #RF #DigitalIntelligence #Azalea #Telemetry #DigitalSignal #Space #Satellite - newswiretoday.com/news/184109/
We’ll be at #OPEN2025 on May 20 in Göttingen, hosted by @AxisIPVideo! Excited to showcase our #Multisensor & #LiDAR technologies and connect with the security industry’s best. 🎟️ Free to attend – register here: buff.ly/v1xuRsO #OpenGöttingen #AxisOPEN #SecurityTech

We’ll be at #OPEN2025 on May 20 in Göttingen, hosted by @AxisIPVideo! Excited to showcase our #Multisensor & #LiDAR technologies and connect with the security industry’s best. 🎟️ Free to attend – register here: buff.ly/v1xuRsO #OpenGöttingen #AxisOPEN #SecurityTech

D-Orbit's Multi-Sensor ADCS Module for Satellite Constellations Learn More: ow.ly/S8MC50VPSYo #dorbit #adcsmodule #multisensor #satelliteconstellation #satellite #space #launch #ground #product #datasheet #quotation

#SWPPlus #Multisensor #Wiblingen #Wohnkonzern #Vonovia-Häuser in #Ulm: Mieter wehren sich weiter gegen Einbau teurer Rauchmelder swp.de/lokales/ulm/vo…

We’ll be at #OPEN2025 on May 20 in Göttingen, hosted by @AxisIPVideo! Excited to showcase our #Multisensor & #LiDAR technologies and connect with the security industry’s best. 🎟️ Free to attend – register here: buff.ly/v1xuRsO #OpenGöttingen #AxisOPEN #SecurityTech

Your #multisensor #metrology questions answered. Starrett Want answers? Get them here! qualitymag.com/articles/98696…
We’ll be at #OPEN2025 on May 20 in Göttingen, hosted by @AxisIPVideo! Excited to showcase our #Multisensor & #LiDAR technologies and connect with the security industry’s best. 🎟️ Free to attend – register here: buff.ly/v1xuRsO #OpenGöttingen #AxisOPEN #SecurityTech

🚨Webinar 🚨 Senstar MultiSensor - Detectie van ongekend niveau! Registratie ➜ buff.ly/dLlf8g3 📅 Vrijdag, 11 april,10:00 am CEST #Webinar #SenstarMakesSense #MultiSensor

🚨Webinar 🚨 Senstar MultiSensor - Detectie van ongekend niveau! Registratie is nu geopend ➜ buff.ly/bfw6xzf 📅 Vrijdag, 11 april,10:00 am CEST #Webinar #SenstarMakesSense #MultiSensor

bit.ly/3lUL1cb 🌱🌲🌳⚙️🖥️🚁🛰️ #multiscale , #multisensor , #ecology , #UAV , #IoT , #multispectral , #hyperspectral , #lidar , #SAR , @SENSECO_COST , @COST_HARMONIOUS , #3DForEcoTech , #ITTNet , @RemoteSens_MDPI , #unibz , #unibo

Top 10 Cited Papers in #Agriculture in Last 2 Years No.3: Practical Applications of a #Multisensor UAV Platform Based on #Multispectral, Thermal and RGB High Resolution #Images in Precision #Viticulture by Alessandro Matese and Salvatore Filippo Di Gennaro mdpi.com/2077-0472/8/7/…

Dispositivi Aeotec - Smart Switch 7 e MultiSensor 6 | CeoTech buff.ly/2Qy9nJ4 @Aeotec #smarthome #multisensor #switch #ios #android #home #device #tech #news #life #live #love #innovation #hitech #genius #apple #amazon #google #gift #today #indispensable #useful

#RSHighlyCitedPaper Towards Global #Volcano Monitoring Using #Multisensor #Sentinel Missions and #ArtificialIntelligence: The MOUNTS Monitoring System By Sébastien Valade, Andreas Ley, et al. 👉mdpi.com/2072-4292/11/1… #remotesensing #ConvolutionalNeuralNetwork #CNN #Radar #InSAR

#Mapping Heterogeneous Buried #Archaeological Features Using #Multisensor Data from Unmanned Aerial Vehicles by Christopher Brooke and Ben Clutterbuck 👉mdpi.com/2072-4292/12/1… #remotesensing #UAV #randomforest #thermal #multispectral

📝Call for papers for the special issue: " Algorithm Development in #EarthObservation Modeling Using #Multisensor Data" 👥Guest editors: Dr. Sanaz Vajedian, Dr. Rishabh Dutta, Dr. Indhu Varatharajan mdpi.com/journal/remote… ⏰Deadline: 15 November 2024

"#ML-Based #Diabetes Prediction Using #Multisensor Data" #openaccess #IEEE publication @ITC_TampereUni ieeexplore.ieee.org/document/10268…

The Promise of Sleep: A #MultiSensor Approach for Accurate #Sleep Stage Detection Using the Oura Ring @altini_marco @VUamsterdam @ouraring 👉mdpi.com/1424-8220/21/1… #wearables #heartratevariability #MachineLearning #accelerometer #withOura

#Today start of #SummerSchool Multi-sensor Earth observation in practice. Participants will enjoy a high quality agenda @Z_GIS1 @PLUS_1622. Welcome by @DabiriZ Stefan Lang #multisensor #EO #landslides #UAV #radar #applications #datacubes #DEM #mapping #glacier #permafrost #CNN

🍇🍇 Time Series Analysis of #Multisensor Data for #Precision #Viticulture—Assessing Microscale Variations in Plant Development with Respect to #Irrigation and #Topography ✍️ Melanie Brandmeier et al. 🔗 brnw.ch/21wRHma

#RSinterestingpaper Mapping Heterogeneous Buried #Archaeological Features Using #Multisensor Data from #UnmannedAerialVehicles by Christopher Brooke, Ben Clutterbuck. 👉mdpi.com/2072-4292/12/1… #remotesensing #randomforest #thermal #MachineLearning #UAV

Don't forget to join us Monday 4/13 at 10 AM or 1 PM ET for our virtual shows. Learn about the latest #Wisenet cameras and solutions including #PTRZ, #multisensor cameras, high-resolution Q series fisheye cameras and more. bit.ly/2RdKa6b #Hanwha #videosurveillance

Have you ever heard or read about concepts like view-specific and view-shared features? In this short post I share some of the knowledge I have gained during my research on #multiview learning 😃 #multisensor #multimodal

Dahua Technology announces New #MultiSensor Cameras to fulfill flexibility and evolving customer change-requirements. #ISCWEST Discover more: bit.ly/2uEnr7F

Starting a new project #AI enabled #multisensor platform to monitor AKI patients -- funded by #NIH R01 @MayoClinicMI2 @MayoRadiologyAZ @ASU

🌋☁️☁️ #Volcanic #Cloud Detection and Retrieval Using Satellite #Multisensor Observations ✍️ Francesco Romeo et al. 🔗 brnw.ch/21wOoli

¡Mañana! #EspacioSINAI en @NavarraTV #Multisensor- ¿La transpiración del racimo afecta a la calidad de la uva? @IdAB_CSIC + @unav aditech.com/es/proyectos-i…

📢An Efficient #MultiSensor Remote Sensing #ImageClustering in #Urban Areas via #BoostedConvolutionalAutoencoder (#BCAE) by Maryam Rahimzad, Saeid Homayouni, Amin Alizadeh Naeini and Saeed Nadi 👉 Read the full article: mdpi.com/2072-4292/13/1…

#Hanwha's PNM-9320VQP is a network vandal outdoor #multisensor camera, with fixed focal lens modules + 2MP 32x optical zoom PTZ, triple codec with WiseStream II technology and much more! bit.ly/2mqmakj #hanwhatechwin #Wisenet #videosurveillance #ipvideo #security

There's still time to join us on 4/13 at 10 AM or 1 PM ET for our virtual show. Learn about the latest #Wisenet cameras and solutions including #PTRZ, #multisensor cameras, high-resolution Q series #fisheye cameras and more. bit.ly/34saqzd #Hanwha #videosurveillance

Something went wrong.
Something went wrong.
United States Trends
- 1. #2025MAMAVOTE 1.43M posts
- 2. #KonamiWorldSeriesSweepstakes N/A
- 3. Tyla 17.9K posts
- 4. Fetterman 69.5K posts
- 5. No Kings 153K posts
- 6. Miguel Vick N/A
- 7. Deport Harry Sisson 26.4K posts
- 8. Yung Miami N/A
- 9. Somalia 31.1K posts
- 10. GTreasury 5,311 posts
- 11. #SpiritDay 1,578 posts
- 12. Dave Dombrowski N/A
- 13. ErgoChair X N/A
- 14. Caresha N/A
- 15. Andrade 6,885 posts
- 16. #thursdayvibes 3,912 posts
- 17. Mitch McConnell 3,879 posts
- 18. #WorldFoodDay 36.9K posts
- 19. Ninja Gaiden 26.3K posts
- 20. Starting 5 7,918 posts