#percorsotech 搜索结果
It has been a journey with @PercorsoTech & it's data analytics team @PamellaIshiwu & @ProsperoApril and it has revealed that there is a lot that can be achieved with MS Excel, from data sorting, to filtering, manipulation the list is quite endless #PercorsoTech #DataAnalytics

GM GM guys☀️, what a session by @blockfestafrica, The first of a kind event that shook the Web3 Blockchain community on the entire continent of Africa🌍 It is the biggest convention of top Web3 experts in the field where there is networking #PercorsoTech #BlockFestAfrica2025

That’s a wrap on #BlockfestAfrica2025! 🎉 Massive thank you to everyone who pulled up, vibed, shared ideas, and pushed the limits of what’s possible for tech in Africa. See you next year, even bigger, bolder, louder 🔥

#DataAnalytics Is getting more interesting with the help of @PamellaIshiwu & our #PercorsoTech founder @ProsperoApril. Last lecture was very educational & straightforward and as part of proper teaching, assignments make one more engaging. Here is the little research I did on DA.




Here’s a glimpse of my data cleaning assignment, before and after transformation. Thanks to my tutor @PamellaIshiwu and founder @ProsperoApril #Percorsotech #DataAnalytics




Hello folks i just completed my assignment with @PercorsoTech on Data Cleaning showing before and after of the data file. I want to thank my tutor @PamellaIshiwu for the wonderful sessions. Thank you @ProsperoApril and @PercorsoTech team. #PercorsoTech #DataAnalytics




My assignment with @PercorsoTech on Data Cleaning showing before and after of the data file... Thank you @ProsperoApril and @PamellaIshiwu for the classes #PercorsoTech #DataAnalytics



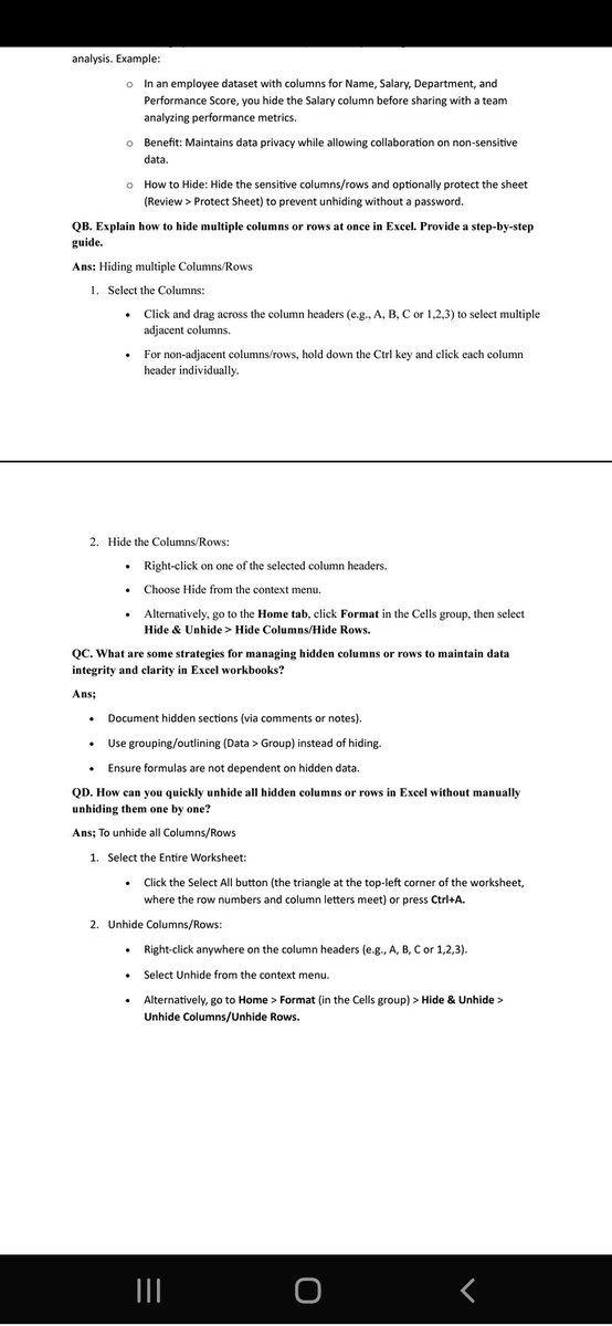
Every new Excel challenge brings a deeper understanding of how data can tell powerful stories. This assignment helped me sharpen my analytical thinking, from filtering and sorting data dynamically to applying advanced formulas that uncover insights. #PercorsoTech #DataAnalytics



Just completed my assignment on Introduction to Excel and Excel Formulas & Functions under the #PercorsoTech program! It’s exciting learning how Excel simplifies data analysis and makes calculations faster and smarter. @PercorsoTech @ProsperoApril @PamellaIshiwu #DataAnalytics




Admission gotten, all set for a better me. #PercorsoTech @PercorsoTech @PamellaIshiwu @ProsperoApril

GM Here is my second assignment on DATA ANALYTICS as a student of @PercorsoTech that I am. We had a class on how to use Microsoft Excel and my teacher @PamellaIshiwu really did a good job in the class. Grateful to @ProsperoApril for this opportunity. #PercorsoTech ##DataAnalytics




• Structure the dataset and prepare it for Visualization. @PercorsoTech @PamellaIshiwu @ProsperoApril #PercorsoTech #DataAnalytics



My second assignment as a data analytics student in PercorsoTech I appreciate our tutor @PamellaIshiwu her teaching and guidance and I also appreciate the team lead @ProsperoApril for the opportunity to learn. #PercorsoTech #DataAnalytics


Thrilled to be part of @PercorsoTech Data Analytics Program 🚀 Excited to learn, grow, and explore the world of data #PercorsoTech

Have you ever wondered how the thing Web, Internet works ? I have, and thanks to #PercorsoTech I now have a better understanding. With no further ado, let's dive right into it. If you find this thread useful like comment and RT

Second Excel assignment done! ✅ Every new function I learn brings me closer to mastering data management and analysis. Big thanks to @ProsperoApril and @PamellaIshiwu for their guidance and support 🙌 #PercorsoTech #Excel #DataAnalytics




“In God we trust; all others must bring data — preferably in Excel.” 📊 “Excel is not just a spreadsheet — it’s the first lab of every data analyst.” 👨💻Week 2 Assignment diving deeper into use of Microsoft Excel #PercorsoTech #DataAnalytics



GM GM guys☀️, what a session by @blockfestafrica, The first of a kind event that shook the Web3 Blockchain community on the entire continent of Africa🌍 It is the biggest convention of top Web3 experts in the field where there is networking #PercorsoTech #BlockFestAfrica2025

That’s a wrap on #BlockfestAfrica2025! 🎉 Massive thank you to everyone who pulled up, vibed, shared ideas, and pushed the limits of what’s possible for tech in Africa. See you next year, even bigger, bolder, louder 🔥

It has been a journey with @PercorsoTech & it's data analytics team @PamellaIshiwu & @ProsperoApril and it has revealed that there is a lot that can be achieved with MS Excel, from data sorting, to filtering, manipulation the list is quite endless #PercorsoTech #DataAnalytics

✅Standardized the format ✅Handled missing data and ✅Converted to table format for easy filter and analysis. #DataAnalytic #PercorsoTech @PercorsoTech @ProsperoApril #DataCleaning #Assignment
• Structure the dataset and prepare it for Visualization. @PercorsoTech @PamellaIshiwu @ProsperoApril #PercorsoTech #DataAnalytics



Hello folks i just completed my assignment with @PercorsoTech on Data Cleaning showing before and after of the data file. I want to thank my tutor @PamellaIshiwu for the wonderful sessions. Thank you @ProsperoApril and @PercorsoTech team. #PercorsoTech #DataAnalytics




Here’s a glimpse of my data cleaning assignment, before and after transformation. Thanks to my tutor @PamellaIshiwu and founder @ProsperoApril #Percorsotech #DataAnalytics




A big thank you to my tutor @PamellaIshiwu Ishiwu, and also to @ProsperoApril and the entire team at @PercorsoTech Tech for the guidance and support. 🙏 #DataAnalytics #PercorsoTech #LearningJourney #TechGrowth

My assignment with @PercorsoTech on Data Cleaning showing before and after of the data file... Thank you @ProsperoApril and @PamellaIshiwu for the classes #PercorsoTech #DataAnalytics



Late night Data cleaning. Putting into action what we're being taught at @PercorsoTech by our tutor @PamellaIshiwu. As always super grateful to @ProsperoApril for the opportunity. Let's go! #Percorsotech #Dataanalytics

I Completed my Data Analysis assignment with Percorso Tech, focusing on advanced Excel data management. Grateful @PercorsoTech for the opportunity to strengthen my Excel and data analysis skills and to my tutor @PamellaIshiwu and @ProsperoApril #DataAnalysis #PercorsoTech




Every new Excel challenge brings a deeper understanding of how data can tell powerful stories. This assignment helped me sharpen my analytical thinking, from filtering and sorting data dynamically to applying advanced formulas that uncover insights. #PercorsoTech #DataAnalytics



Week 2 done! 🎉 Got introduced to Excel, basic functions, and formulas. Didn’t know handling data could be this fun! Big thanks to @PercorsoTech and @ProsperoApril for the opportunity and @PamellaIshiwu for teaching so simply. Excited for week 4! #PercorsoTech #DataAnalytics




All thanks to our instructor @PamellaIshiwu for always trying to breakdown everything for easy absorbtion and our team lead @ProsperoApril for constantly checking if our classes are going smoothly. #DataAnalytics #PercorsoTech #Assignment



“In God we trust; all others must bring data — preferably in Excel.” 📊 “Excel is not just a spreadsheet — it’s the first lab of every data analyst.” 👨💻Week 2 Assignment diving deeper into use of Microsoft Excel #PercorsoTech #DataAnalytics



Second Excel assignment done! ✅ Every new function I learn brings me closer to mastering data management and analysis. Big thanks to @ProsperoApril and @PamellaIshiwu for their guidance and support 🙌 #PercorsoTech #Excel #DataAnalytics




Level up your data skills! 🚀 Just finished my Advanced Data Manipulation Techniques assignment with @PercorsoTech. Thanks @PamellaIshiwu for the expert guidance & @ProsperoApril for making it happen! 🙏 #PercorsoTech #DataAnalysis




I sincerely appreciate my tutor @PamellaIshiwu and i also thank @ProsperoApril and the team @PercorsoTech for giving mee this wonderful opportunity. #PercorsoTech #DataAnalytics




#DataAnalytics Is getting more interesting with the help of @PamellaIshiwu & our #PercorsoTech founder @ProsperoApril. Last lecture was very educational & straightforward and as part of proper teaching, assignments make one more engaging. Here is the little research I did on DA.




Just completed my assignment on Introduction to Excel and Excel Formulas & Functions under the #PercorsoTech program! It’s exciting learning how Excel simplifies data analysis and makes calculations faster and smarter. @PercorsoTech @ProsperoApril @PamellaIshiwu #DataAnalytics




It has been a journey with @PercorsoTech & it's data analytics team @PamellaIshiwu & @ProsperoApril and it has revealed that there is a lot that can be achieved with MS Excel, from data sorting, to filtering, manipulation the list is quite endless #PercorsoTech #DataAnalytics

Thrilled to be part of @PercorsoTech Data Analytics Program 🚀 Excited to learn, grow, and explore the world of data #PercorsoTech

I Just enrolled in a 3-month Data Analytics course with Percorso Tech! Ready to break barriers, turn data into impact, and step into a future of freedom, growth & innovation. 💡 By SMALL and SIMPLE things are GREAT things brought to PASS. #DataAnalytics #Growth #PercorsoTech

Second Excel assignment done! ✅ Every new function I learn brings me closer to mastering data management and analysis. Big thanks to @ProsperoApril and @PamellaIshiwu for their guidance and support 🙌 #PercorsoTech #Excel #DataAnalytics




Every new Excel challenge brings a deeper understanding of how data can tell powerful stories. This assignment helped me sharpen my analytical thinking, from filtering and sorting data dynamically to applying advanced formulas that uncover insights. #PercorsoTech #DataAnalytics



First Assessment on PercorsoTech! Key takeaway: Data analytics = information/storytelling that drives decision making, and action, not just charts. Much appreciation goes to @PercorsoTech @ProsperoApril @PamellaIshiwu #PercorsoTech #DataAnalytics




My assignment with @PercorsoTech on Data Cleaning showing before and after of the data file... Thank you @ProsperoApril and @PamellaIshiwu for the classes #PercorsoTech #DataAnalytics



GM guys This is my first assignment on DATA ANALYTICS at The Tech Path @PercorsoTech I really appreciate my tutor @PamellaIshiwu for her simple and straightforward teachings and I also thank @ProsperoApril for creating this free opportunity for us. #PercorsoTech #DataAnalytics



GM GM guys☀️, what a session by @blockfestafrica, The first of a kind event that shook the Web3 Blockchain community on the entire continent of Africa🌍 It is the biggest convention of top Web3 experts in the field where there is networking #PercorsoTech #BlockFestAfrica2025

That’s a wrap on #BlockfestAfrica2025! 🎉 Massive thank you to everyone who pulled up, vibed, shared ideas, and pushed the limits of what’s possible for tech in Africa. See you next year, even bigger, bolder, louder 🔥

A big step forward in my journey, and I’m excited to gain the skills, insights, and experience needed to turn data into decisions. Grateful for this access @PercorsoTech and looking forward to learning, growing, and applying the knowledge to real-world challenges #percorsoTech

First assignment done 💜 There say journey of a thousand mile begins with a step, percorso is the right path for me where a million dreams keep me awake, the right guidance. #PercorsoTech #DataAnalytics




Thanks you @PercorsoTech for this opportunity 🤍 Would be looking forward to learning a lot 🔥#PercorsoTech

My second assignment as a data analytics student in PercorsoTech I appreciate our tutor @PamellaIshiwu her teaching and guidance and I also appreciate the team lead @ProsperoApril for the opportunity to learn. #PercorsoTech #DataAnalytics


GM Here is my second assignment on DATA ANALYTICS as a student of @PercorsoTech that I am. We had a class on how to use Microsoft Excel and my teacher @PamellaIshiwu really did a good job in the class. Grateful to @ProsperoApril for this opportunity. #PercorsoTech ##DataAnalytics




Thrilled to announce my admission into Percorso Tech 🚀📊 Ready to dive into the world of Data Analytics and grow on this timeless tech journey. #DataAnalytics #PercorsoTech

“In God we trust; all others must bring data — preferably in Excel.” 📊 “Excel is not just a spreadsheet — it’s the first lab of every data analyst.” 👨💻Week 2 Assignment diving deeper into use of Microsoft Excel #PercorsoTech #DataAnalytics



Have you ever wondered how the thing Web, Internet works ? I have, and thanks to #PercorsoTech I now have a better understanding. With no further ado, let's dive right into it. If you find this thread useful like comment and RT

Something went wrong.
Something went wrong.
United States Trends
- 1. Butker 5,193 posts
- 2. Goff 8,075 posts
- 3. Lions 51.2K posts
- 4. Lions 51.2K posts
- 5. Baker 43.5K posts
- 6. #OnePride 3,075 posts
- 7. #TNABoundForGlory 15.5K posts
- 8. 49ers 40.3K posts
- 9. Ty Dillon 1,005 posts
- 10. #BNBdip N/A
- 11. Bucs 13.6K posts
- 12. #RHOP 8,828 posts
- 13. Dan Campbell 1,455 posts
- 14. #SNFonNBC N/A
- 15. Packers 36.1K posts
- 16. Fred Warner 15.7K posts
- 17. Denny 4,868 posts
- 18. George Springer 3,103 posts
- 19. Byron 6,329 posts
- 20. Flacco 13.1K posts