
Excel to Graphviz
@ExcelToGraphviz
Official Twitter account for the "Excel to Graphviz" Relationship Visualizer spreadsheet authored by Jeffrey Long.
Excel to Graphviz has just been recognized with a Community Choice award by SourceForge! @msexcel @Graphviz

Excel to Graphviz Release 8.0 is here! Style design just got easier. Restore saved styles. New gallery controls and RGB color picking. New SQL connection pooling. Faster performance! MIT-licensed. Always free. sourceforge.net/projects/relat…
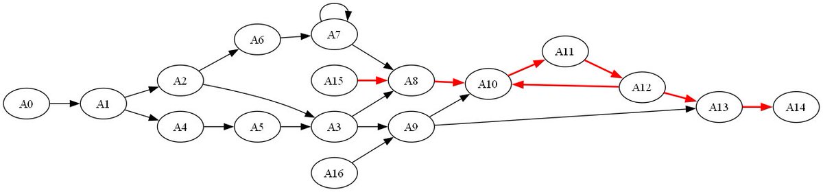
Big news! 'Excel to Graphviz' Version 7.2 is out, and it now supports recursive SQL queries. Perfect for creating organization charts, tracing family trees, or following the money. Download the latest version at sourceforge.net/projects/relat…

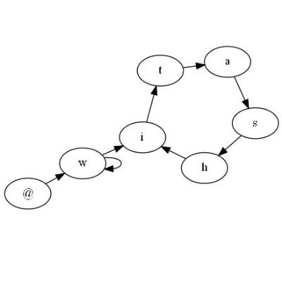
A new feature in version 7.0 captures and displays the messages emitted by the Graphviz dot command in a "console" worksheet. #graphviz #msexcel

'Excel to Graphiz' now has launched its own website at (you guessed it) exceltographviz.com #Excel #Graphviz
Big new release! Adds auto-clustering to SQL results, SQL batching, and SVG postprocessing for edge animation. Download the new version of #Excel to #Graphviz at sourceforge.net/projects/relat…
New Release! 1) Style Designer enhancement to create solid-filled gradients 2) Accessibility enhancement to generate tooltips for clusters, nodes, and edges in SVG exports 3) Smaller Excel file size Download the new version of Excel to Graphviz at sourceforge.net/projects/relat…

New release adding more clickable graph attributes! Attributes in the 'Algorithm' group on the Graphviz tab now change based upon the layout chosen. Download the new version of Excel to Graphviz at sourceforge.net/projects/relat…
To name a few: d3.js spring layout for web / d3 integration; Excel to Graphviz for ease of data prep; UMAP, tSNE, Graphistry, LGL for scale; Gephi for UI; Tom Sawyer and yWorks for breadth and pro support. NodeXL for analysis. WebCoLA for nesting/constraints.
New Release - Metric units! Toggle between inches and millimeters. Download the new version of Excel to Graphviz at sourceforge.net/projects/relat… @msexcel @Graphviz (3/3)
New Release - Font preview images! Download the new version of Excel to Graphviz at sourceforge.net/projects/relat… @msexcel @Graphviz (2/3)
United States 趋势
- 1. Good Wednesday 26.3K posts
- 2. #wednesdaymotivation 5,854 posts
- 3. #LoveYourW2025 183K posts
- 4. Hump Day 11K posts
- 5. Markey 1,024 posts
- 6. #VxWKOREA 47.8K posts
- 7. #WednesdayWisdom N/A
- 8. And the Word 77.4K posts
- 9. #15Oct 3,742 posts
- 10. Happy Hump 6,812 posts
- 11. Moulton N/A
- 12. St. Teresa of Avila 2,129 posts
- 13. Young Republicans 97.1K posts
- 14. Tami 5,288 posts
- 15. Raila Odinga 179K posts
- 16. LEE KNOW FOR HARPERS BAZAAR 7,119 posts
- 17. hobi 33.3K posts
- 18. Kenya 133K posts
- 19. George Floyd 38.2K posts
- 20. Voting Rights Act 6,379 posts
Something went wrong.
Something went wrong.