Re_menal2's profile picture. 現在は @Re1yra で活動しています

るめなる

@Re_menal2

現在は @Re1yra で活動しています

Vastgezet

固定ツイート(書いた pdf とか)


そういえば最近は @Re1yra で活動しています この垢は恐らくもう使いません…()


Twitterに登録した日を覚えていますか?#MyTwitterAnniversary 昨日らしいです

Re_menal2's tweet image. Twitterに登録した日を覚えていますか?#MyTwitterAnniversary 

昨日らしいです

3 ヶ月も動かしてませんでした………


Σ[n=1,∞] (-1)^n/(n(2n+1)) ψ(n+1/2) に帰着したんですが、わからず………

Deze tweet is niet langer beschikbaar.

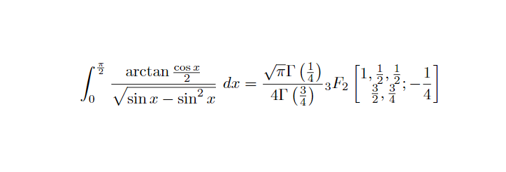
たぶんこうなった、ということは逆にこの超幾何の値を求められることになる?(この形の超幾何に一般的な公式があるのかわからないけど)

Re_menal2's tweet image. たぶんこうなった、ということは逆にこの超幾何の値を求められることになる?(この形の超幾何に一般的な公式があるのかわからないけど)
Deze tweet is niet langer beschikbaar.

最近おもしろいなと思ったウリゾーンの補題の証明について(丁寧めに) mathlog の記事を書きました!!! mathlog.info/articles/2997


今日は丸々これの行間埋めるのに費やしてた(ノートにまとめたら 9 ページ半いった…)

Re_menal2's tweet image. 今日は丸々これの行間埋めるのに費やしてた(ノートにまとめたら 9 ページ半いった…)

Notion の数式、マクロ使えないのつらい………


HTT の 1.1 読み終わった!!!!!!!!


Loading...

Something went wrong.


Something went wrong.