#mathcep search results

Big fan of math puzzles? ๐Ÿงฉ๐Ÿง  Looking for a POD? Today, on our newly launched MathCEP Blog, we present Math Puzzle No. 1: Doubtful Doubling! Come bend your brain; visit z.umn.edu/mathcepblog for a hint. #mathcep #mathpuzzles #math #equalities #mathinstruction #mathpath

MathCEP's tweet image. Big fan of math puzzles? ๐Ÿงฉ๐Ÿง  Looking for a POD? Today, on our newly launched MathCEP Blog, we present Math Puzzle No. 1: Doubtful Doubling!  Come bend your brain; visit z.umn.edu/mathcepblog for a hint.  #mathcep #mathpuzzles #math #equalities #mathinstruction #mathpath

Heading back to school? Let our first monthly highlighted resource help you and your students get a leg up on learning! Septemberโ€™s resource uses visual sequences to help students recognize patterns of growth. Check out z.umn.edu/tchrec #teacherresources #MathCEP #UMN

MathCEP's tweet image. Heading back to school?   Let our first monthly highlighted resource help you and your students get a leg up on learning!  
Septemberโ€™s resource uses visual sequences to help students recognize patterns of growth.
Check out z.umn.edu/tchrec
#teacherresources #MathCEP #UMN

From the 2020 census, Minnesota will receive between 7 and 8 representatives in Congress. How do we find out whether to round up or round down? ๐Ÿ›๏ธ๐Ÿ“ˆ๐Ÿ“‰ Which way will it go, and how do we figure that out? All discussed in our January Resource: z.umn.edu/tchrec #MathCEP #umn

MathCEP's tweet image. From the 2020 census, Minnesota will receive between 7 and 8 representatives in Congress. How do we find out whether to round up or round down? ๐Ÿ›๏ธ๐Ÿ“ˆ๐Ÿ“‰ Which way will it go, and how do we figure that out? All discussed in our January Resource: z.umn.edu/tchrec #MathCEP #umn

What are the odds? You're on LET'S MAKE A DEAL!, one door is open, and you have to decide whether to switch or keep your first choice of door. ๐ŸŽ๏ธ๐Ÿ๐Ÿ Should you switch? Check out the MathCEP Blog for Math Puzzle No. 2: The Monty Hall Problem at z.umn.edu/mathcepblog. #mathcep

MathCEP's tweet image. What are the odds? You're on LET'S MAKE A DEAL!, one door is open, and you have to decide whether to switch or keep your first choice of door. ๐ŸŽ๏ธ๐Ÿ๐Ÿ Should you switch?  Check out the MathCEP Blog for Math Puzzle No. 2: The Monty Hall Problem at z.umn.edu/mathcepblog.  #mathcep

In this week's math problem, our mouse isn't just stirring; he's trying to eat his way to the center cube of cheese!๐Ÿ๐Ÿง€๐ŸคซUse your spatial reasoning to map a path for him to get to the center, leaving no cube uneaten. For details or a hint, visit: z.umn.edu/mathcepblog #mathcep

MathCEP's tweet image. In this week's math problem, our mouse isn't just stirring; he's trying to eat his way to the center cube of cheese!๐Ÿ๐Ÿง€๐ŸคซUse your spatial reasoning to map a path for him to get to the center, leaving no cube uneaten. For details or a hint, visit: z.umn.edu/mathcepblog #mathcep

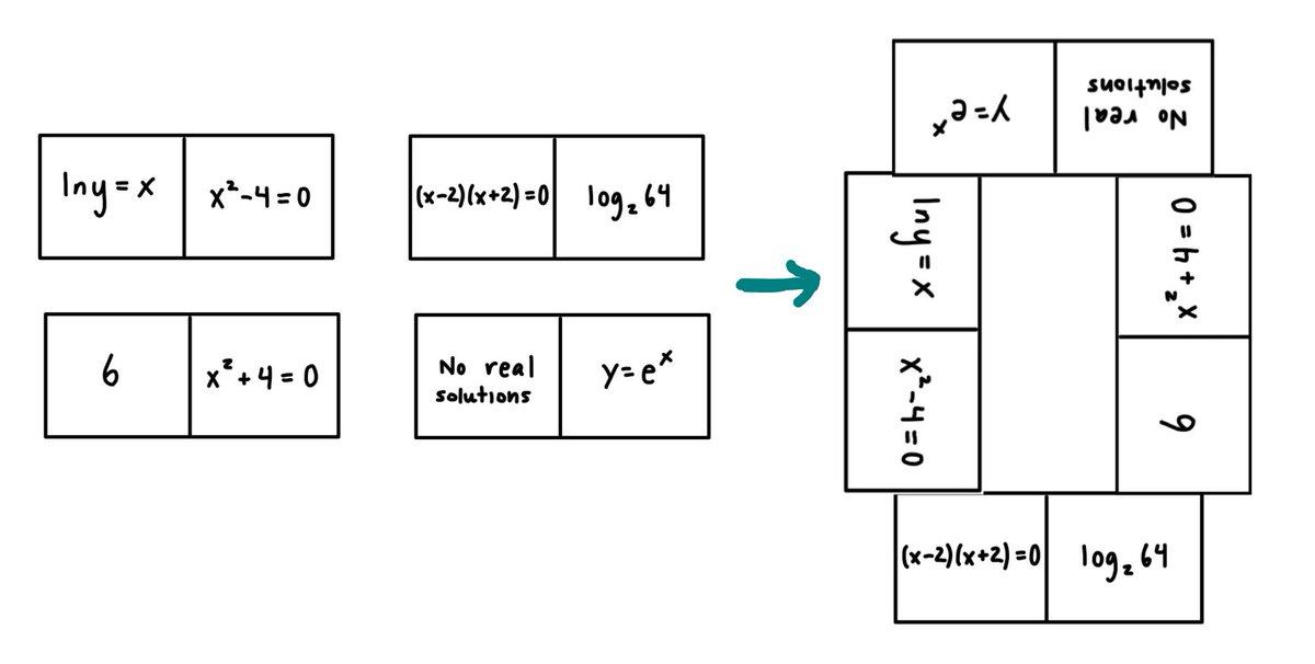
This week, we published part one of our four-part series on strategies on icebreakers that get students working together and engaging in mathematical problem-solving from the very first day of class. Part 1? Math Review Dominoes! Check them out: z.umn.edu/mathcepblog #mathcep

MathCEP's tweet image. This week, we published part one of our four-part series on strategies on icebreakers that get students working together and engaging in mathematical problem-solving from the very first day of class. Part 1? Math Review Dominoes! Check them out: z.umn.edu/mathcepblog #mathcep

This week's math puzzle requires some knowledge of number theory, some divisibility tests, and a whole lot of logic. ๐Ÿ”ข๐Ÿ’ญโž— Do you have what it takes? Math Puzzle No. 3: The Ten Divisibilities is up on our MathCEP Blog at z.umn.edu/mathcepblog. #mathcep #mathpuzzles #math

MathCEP's tweet image. This week's math puzzle requires some knowledge of number theory, some divisibility tests, and a whole lot of logic.  ๐Ÿ”ข๐Ÿ’ญโž—  Do you have what it takes? Math Puzzle No. 3: The Ten Divisibilities is up on our MathCEP Blog at z.umn.edu/mathcepblog.  #mathcep #mathpuzzles #math

For Math Puzzle No. 5, we meet a damsel in shining armor who needs to cross a moat filled with terrifying, hungry alligators to rescue a knight in distress. ๐Ÿ˜จ๐Ÿฐ๐ŸŠ๐ŸŒŠ๐Ÿšถโ€โ™€๏ธ How does she do it? Find out more details at z.umn.edu/mathcepblog #mathcep #math @MathCEP @umnmathlib @UMNCSE

MathCEP's tweet image. For Math Puzzle No. 5, we meet a damsel in shining armor who needs to cross a moat filled with terrifying, hungry alligators to rescue a knight in distress. ๐Ÿ˜จ๐Ÿฐ๐ŸŠ๐ŸŒŠ๐Ÿšถโ€โ™€๏ธ How does she do it? Find out more details at z.umn.edu/mathcepblog #mathcep #math @MathCEP @umnmathlib @UMNCSE

Looking for a way to engage your 3rd-8th graders in learning about fractions in a way that develops their conceptual understanding?๐Ÿ‘จโ€๐Ÿซ ๐Ÿ“Lessons from The Rational Number Project are this month's Highlighted Resource: z.umn.edu/tchrec #MathCEP #umn @UMN_CEHD @UMN_CI @mctm_mn

MathCEP's tweet image. Looking for a way to engage your 3rd-8th graders in learning about fractions in a way that develops their conceptual understanding?๐Ÿ‘จโ€๐Ÿซ ๐Ÿ“Lessons from The Rational Number Project are this month's Highlighted Resource: z.umn.edu/tchrec #MathCEP #umn @UMN_CEHD @UMN_CI @mctm_mn

We've launched our blog! MathCEP's first post has tips for teaching in the time of Covid-19 and staying connected with students. ๐Ÿ–ฅ๏ธ๐Ÿง‘โ€๐ŸซCheck it out: z.umn.edu/mathcepblog #MathCEP #umn #matheducation #virtualeducation #distancelearning #mathblog @UMNCSE @umnmathlib @MNDOE @MCTM

MathCEP's tweet image. We've launched our blog! MathCEP's first post has tips for teaching in the time of Covid-19 and staying connected with students. ๐Ÿ–ฅ๏ธ๐Ÿง‘โ€๐ŸซCheck it out: z.umn.edu/mathcepblog 

#MathCEP #umn #matheducation #virtualeducation #distancelearning #mathblog @UMNCSE @umnmathlib @MNDOE @MCTM

Just in time for many holidays, our highlighted resource this month highlights being together -- virtually! The Parable of the Parabolas asks students not only to find percents in a range but also to bring different shapes together in harmony. Check out z.umn.edu/tchrec!๐Ÿ•ฏ๏ธ

MathCEP's tweet image. Just in time for many holidays, our highlighted resource this month highlights being together -- virtually! The Parable of the Parabolas asks students not only to find percents in a range but also to bring different shapes together in harmony. Check out z.umn.edu/tchrec!๐Ÿ•ฏ๏ธ


Looking for a way to engage your 3rd-8th graders in learning about fractions in a way that develops their conceptual understanding?๐Ÿ‘จโ€๐Ÿซ ๐Ÿ“Lessons from The Rational Number Project are this month's Highlighted Resource: z.umn.edu/tchrec #MathCEP #umn @UMN_CEHD @UMN_CI @mctm_mn

MathCEP's tweet image. Looking for a way to engage your 3rd-8th graders in learning about fractions in a way that develops their conceptual understanding?๐Ÿ‘จโ€๐Ÿซ ๐Ÿ“Lessons from The Rational Number Project are this month's Highlighted Resource: z.umn.edu/tchrec #MathCEP #umn @UMN_CEHD @UMN_CI @mctm_mn

This week, we published part one of our four-part series on strategies on icebreakers that get students working together and engaging in mathematical problem-solving from the very first day of class. Part 1? Math Review Dominoes! Check them out: z.umn.edu/mathcepblog #mathcep

MathCEP's tweet image. This week, we published part one of our four-part series on strategies on icebreakers that get students working together and engaging in mathematical problem-solving from the very first day of class. Part 1? Math Review Dominoes! Check them out: z.umn.edu/mathcepblog #mathcep

For Math Puzzle No. 5, we meet a damsel in shining armor who needs to cross a moat filled with terrifying, hungry alligators to rescue a knight in distress. ๐Ÿ˜จ๐Ÿฐ๐ŸŠ๐ŸŒŠ๐Ÿšถโ€โ™€๏ธ How does she do it? Find out more details at z.umn.edu/mathcepblog #mathcep #math @MathCEP @umnmathlib @UMNCSE

MathCEP's tweet image. For Math Puzzle No. 5, we meet a damsel in shining armor who needs to cross a moat filled with terrifying, hungry alligators to rescue a knight in distress. ๐Ÿ˜จ๐Ÿฐ๐ŸŠ๐ŸŒŠ๐Ÿšถโ€โ™€๏ธ How does she do it? Find out more details at z.umn.edu/mathcepblog #mathcep #math @MathCEP @umnmathlib @UMNCSE

From the 2020 census, Minnesota will receive between 7 and 8 representatives in Congress. How do we find out whether to round up or round down? ๐Ÿ›๏ธ๐Ÿ“ˆ๐Ÿ“‰ Which way will it go, and how do we figure that out? All discussed in our January Resource: z.umn.edu/tchrec #MathCEP #umn

MathCEP's tweet image. From the 2020 census, Minnesota will receive between 7 and 8 representatives in Congress. How do we find out whether to round up or round down? ๐Ÿ›๏ธ๐Ÿ“ˆ๐Ÿ“‰ Which way will it go, and how do we figure that out? All discussed in our January Resource: z.umn.edu/tchrec #MathCEP #umn

In this week's math problem, our mouse isn't just stirring; he's trying to eat his way to the center cube of cheese!๐Ÿ๐Ÿง€๐ŸคซUse your spatial reasoning to map a path for him to get to the center, leaving no cube uneaten. For details or a hint, visit: z.umn.edu/mathcepblog #mathcep

MathCEP's tweet image. In this week's math problem, our mouse isn't just stirring; he's trying to eat his way to the center cube of cheese!๐Ÿ๐Ÿง€๐ŸคซUse your spatial reasoning to map a path for him to get to the center, leaving no cube uneaten. For details or a hint, visit: z.umn.edu/mathcepblog #mathcep

This week's math puzzle requires some knowledge of number theory, some divisibility tests, and a whole lot of logic. ๐Ÿ”ข๐Ÿ’ญโž— Do you have what it takes? Math Puzzle No. 3: The Ten Divisibilities is up on our MathCEP Blog at z.umn.edu/mathcepblog. #mathcep #mathpuzzles #math

MathCEP's tweet image. This week's math puzzle requires some knowledge of number theory, some divisibility tests, and a whole lot of logic.  ๐Ÿ”ข๐Ÿ’ญโž—  Do you have what it takes? Math Puzzle No. 3: The Ten Divisibilities is up on our MathCEP Blog at z.umn.edu/mathcepblog.  #mathcep #mathpuzzles #math

What are the odds? You're on LET'S MAKE A DEAL!, one door is open, and you have to decide whether to switch or keep your first choice of door. ๐ŸŽ๏ธ๐Ÿ๐Ÿ Should you switch? Check out the MathCEP Blog for Math Puzzle No. 2: The Monty Hall Problem at z.umn.edu/mathcepblog. #mathcep

MathCEP's tweet image. What are the odds? You're on LET'S MAKE A DEAL!, one door is open, and you have to decide whether to switch or keep your first choice of door. ๐ŸŽ๏ธ๐Ÿ๐Ÿ Should you switch?  Check out the MathCEP Blog for Math Puzzle No. 2: The Monty Hall Problem at z.umn.edu/mathcepblog.  #mathcep


What are the odds? You're on LET'S MAKE A DEAL!, one door is open, and you have to decide whether to switch or keep your first choice of door. ๐ŸŽ๏ธ๐Ÿ๐Ÿ Should you switch? Check out the MathCEP Blog for Math Puzzle No. 2: The Monty Hall Problem at z.umn.edu/mathcepblog. #mathcep

MathCEP's tweet image. What are the odds? You're on LET'S MAKE A DEAL!, one door is open, and you have to decide whether to switch or keep your first choice of door. ๐ŸŽ๏ธ๐Ÿ๐Ÿ Should you switch?  Check out the MathCEP Blog for Math Puzzle No. 2: The Monty Hall Problem at z.umn.edu/mathcepblog.  #mathcep

Did your students miss the State Fair this year?ย  Help them beat the mid-semester blues with a trip to the Midway!ย  ๐ŸŽช๐Ÿคน๐ŸŽข The Math Midway 2Go is our Novemberย Highlighted Resource.ย  From the Number Line Tightrope to the Roller Graphicoaster, come along at: z.umn.edu/tchrec

MathCEP's tweet image. Did your students miss the State Fair this year?ย  Help them beat the mid-semester blues with a trip to the Midway!ย 
๐ŸŽช๐Ÿคน๐ŸŽข The Math Midway 2Go is our Novemberย Highlighted Resource.ย  From the Number Line Tightrope to the Roller Graphicoaster, come along at: z.umn.edu/tchrec


Big fan of math puzzles? ๐Ÿงฉ๐Ÿง  Looking for a POD? Today, on our newly launched MathCEP Blog, we present Math Puzzle No. 1: Doubtful Doubling! Come bend your brain; visit z.umn.edu/mathcepblog for a hint. #mathcep #mathpuzzles #math #equalities #mathinstruction #mathpath

MathCEP's tweet image. Big fan of math puzzles? ๐Ÿงฉ๐Ÿง  Looking for a POD? Today, on our newly launched MathCEP Blog, we present Math Puzzle No. 1: Doubtful Doubling!  Come bend your brain; visit z.umn.edu/mathcepblog for a hint.  #mathcep #mathpuzzles #math #equalities #mathinstruction #mathpath

We've launched our blog! MathCEP's first post has tips for teaching in the time of Covid-19 and staying connected with students. ๐Ÿ–ฅ๏ธ๐Ÿง‘โ€๐ŸซCheck it out: z.umn.edu/mathcepblog #MathCEP #umn #matheducation #virtualeducation #distancelearning #mathblog @UMNCSE @umnmathlib @MNDOE @MCTM

MathCEP's tweet image. We've launched our blog! MathCEP's first post has tips for teaching in the time of Covid-19 and staying connected with students. ๐Ÿ–ฅ๏ธ๐Ÿง‘โ€๐ŸซCheck it out: z.umn.edu/mathcepblog 

#MathCEP #umn #matheducation #virtualeducation #distancelearning #mathblog @UMNCSE @umnmathlib @MNDOE @MCTM

Heading back to school? Let our first monthly highlighted resource help you and your students get a leg up on learning! Septemberโ€™s resource uses visual sequences to help students recognize patterns of growth. Check out z.umn.edu/tchrec #teacherresources #MathCEP #UMN

MathCEP's tweet image. Heading back to school?   Let our first monthly highlighted resource help you and your students get a leg up on learning!  
Septemberโ€™s resource uses visual sequences to help students recognize patterns of growth.
Check out z.umn.edu/tchrec
#teacherresources #MathCEP #UMN

Big fan of math puzzles? ๐Ÿงฉ๐Ÿง  Looking for a POD? Today, on our newly launched MathCEP Blog, we present Math Puzzle No. 1: Doubtful Doubling! Come bend your brain; visit z.umn.edu/mathcepblog for a hint. #mathcep #mathpuzzles #math #equalities #mathinstruction #mathpath

MathCEP's tweet image. Big fan of math puzzles? ๐Ÿงฉ๐Ÿง  Looking for a POD? Today, on our newly launched MathCEP Blog, we present Math Puzzle No. 1: Doubtful Doubling!  Come bend your brain; visit z.umn.edu/mathcepblog for a hint.  #mathcep #mathpuzzles #math #equalities #mathinstruction #mathpath

Heading back to school? Let our first monthly highlighted resource help you and your students get a leg up on learning! Septemberโ€™s resource uses visual sequences to help students recognize patterns of growth. Check out z.umn.edu/tchrec #teacherresources #MathCEP #UMN

MathCEP's tweet image. Heading back to school?   Let our first monthly highlighted resource help you and your students get a leg up on learning!  
Septemberโ€™s resource uses visual sequences to help students recognize patterns of growth.
Check out z.umn.edu/tchrec
#teacherresources #MathCEP #UMN

For Math Puzzle No. 5, we meet a damsel in shining armor who needs to cross a moat filled with terrifying, hungry alligators to rescue a knight in distress. ๐Ÿ˜จ๐Ÿฐ๐ŸŠ๐ŸŒŠ๐Ÿšถโ€โ™€๏ธ How does she do it? Find out more details at z.umn.edu/mathcepblog #mathcep #math @MathCEP @umnmathlib @UMNCSE

MathCEP's tweet image. For Math Puzzle No. 5, we meet a damsel in shining armor who needs to cross a moat filled with terrifying, hungry alligators to rescue a knight in distress. ๐Ÿ˜จ๐Ÿฐ๐ŸŠ๐ŸŒŠ๐Ÿšถโ€โ™€๏ธ How does she do it? Find out more details at z.umn.edu/mathcepblog #mathcep #math @MathCEP @umnmathlib @UMNCSE

This week's math puzzle requires some knowledge of number theory, some divisibility tests, and a whole lot of logic. ๐Ÿ”ข๐Ÿ’ญโž— Do you have what it takes? Math Puzzle No. 3: The Ten Divisibilities is up on our MathCEP Blog at z.umn.edu/mathcepblog. #mathcep #mathpuzzles #math

MathCEP's tweet image. This week's math puzzle requires some knowledge of number theory, some divisibility tests, and a whole lot of logic.  ๐Ÿ”ข๐Ÿ’ญโž—  Do you have what it takes? Math Puzzle No. 3: The Ten Divisibilities is up on our MathCEP Blog at z.umn.edu/mathcepblog.  #mathcep #mathpuzzles #math

From the 2020 census, Minnesota will receive between 7 and 8 representatives in Congress. How do we find out whether to round up or round down? ๐Ÿ›๏ธ๐Ÿ“ˆ๐Ÿ“‰ Which way will it go, and how do we figure that out? All discussed in our January Resource: z.umn.edu/tchrec #MathCEP #umn

MathCEP's tweet image. From the 2020 census, Minnesota will receive between 7 and 8 representatives in Congress. How do we find out whether to round up or round down? ๐Ÿ›๏ธ๐Ÿ“ˆ๐Ÿ“‰ Which way will it go, and how do we figure that out? All discussed in our January Resource: z.umn.edu/tchrec #MathCEP #umn

Looking for a way to engage your 3rd-8th graders in learning about fractions in a way that develops their conceptual understanding?๐Ÿ‘จโ€๐Ÿซ ๐Ÿ“Lessons from The Rational Number Project are this month's Highlighted Resource: z.umn.edu/tchrec #MathCEP #umn @UMN_CEHD @UMN_CI @mctm_mn

MathCEP's tweet image. Looking for a way to engage your 3rd-8th graders in learning about fractions in a way that develops their conceptual understanding?๐Ÿ‘จโ€๐Ÿซ ๐Ÿ“Lessons from The Rational Number Project are this month's Highlighted Resource: z.umn.edu/tchrec #MathCEP #umn @UMN_CEHD @UMN_CI @mctm_mn

What are the odds? You're on LET'S MAKE A DEAL!, one door is open, and you have to decide whether to switch or keep your first choice of door. ๐ŸŽ๏ธ๐Ÿ๐Ÿ Should you switch? Check out the MathCEP Blog for Math Puzzle No. 2: The Monty Hall Problem at z.umn.edu/mathcepblog. #mathcep

MathCEP's tweet image. What are the odds? You're on LET'S MAKE A DEAL!, one door is open, and you have to decide whether to switch or keep your first choice of door. ๐ŸŽ๏ธ๐Ÿ๐Ÿ Should you switch?  Check out the MathCEP Blog for Math Puzzle No. 2: The Monty Hall Problem at z.umn.edu/mathcepblog.  #mathcep

In this week's math problem, our mouse isn't just stirring; he's trying to eat his way to the center cube of cheese!๐Ÿ๐Ÿง€๐ŸคซUse your spatial reasoning to map a path for him to get to the center, leaving no cube uneaten. For details or a hint, visit: z.umn.edu/mathcepblog #mathcep

MathCEP's tweet image. In this week's math problem, our mouse isn't just stirring; he's trying to eat his way to the center cube of cheese!๐Ÿ๐Ÿง€๐ŸคซUse your spatial reasoning to map a path for him to get to the center, leaving no cube uneaten. For details or a hint, visit: z.umn.edu/mathcepblog #mathcep

This week, we published part one of our four-part series on strategies on icebreakers that get students working together and engaging in mathematical problem-solving from the very first day of class. Part 1? Math Review Dominoes! Check them out: z.umn.edu/mathcepblog #mathcep

MathCEP's tweet image. This week, we published part one of our four-part series on strategies on icebreakers that get students working together and engaging in mathematical problem-solving from the very first day of class. Part 1? Math Review Dominoes! Check them out: z.umn.edu/mathcepblog #mathcep

We've launched our blog! MathCEP's first post has tips for teaching in the time of Covid-19 and staying connected with students. ๐Ÿ–ฅ๏ธ๐Ÿง‘โ€๐ŸซCheck it out: z.umn.edu/mathcepblog #MathCEP #umn #matheducation #virtualeducation #distancelearning #mathblog @UMNCSE @umnmathlib @MNDOE @MCTM

MathCEP's tweet image. We've launched our blog! MathCEP's first post has tips for teaching in the time of Covid-19 and staying connected with students. ๐Ÿ–ฅ๏ธ๐Ÿง‘โ€๐ŸซCheck it out: z.umn.edu/mathcepblog 

#MathCEP #umn #matheducation #virtualeducation #distancelearning #mathblog @UMNCSE @umnmathlib @MNDOE @MCTM

Loading...

Something went wrong.


Something went wrong.


United States Trends